Máy bơm giếng sâu bằng thép không gỉ thương hiệu ZΞN 4SDM là sự lựa chọn lý tưởng cho những ai cần một giải pháp bơm nước đáng tin cậy, hiệu quả và sáng tạo. Hãy tin tưởng thương hiệu ZEN cho mọi nhu cầu bơm giếng sâu của bạn. Mã định danh*Ngày 4*4: Đường kính lỗ khoan: 100mm (4")* SD: Máy bơm ngầm dòng SD* M: động cơ một pha (ba pha không có M)*2: Công suất (m3/h)* 6: Cảnh* 0,25: Công suất động cơ (KW)
1. Cung cấp nước từ giếng, hồ chứa.
2. Dùng cho mục đích gia đình, dân dụng và công nghiệp.
3. Dùng cho vườn và tưới tiêu.
1. Nhiệt độ chất lỏng tối đa lên tới + 35 ° C.
2. Hàm lượng cát tối đa: 0,25%.
3. Độ sâu lặn tối đa: 100 mét.
4. Đường kính lỗ khoan tối thiểu: 4".
1. Động cơ điện có nhiều cuộn dây hoặc màn chắn kín
2. Ba pha: 380V - 415V/50Hz
3. Chỉ có một. Pha: 220V - 240V/50Hz
4. Được trang bị hộp điều khiển khởi động hoặc hộp điều khiển tự động kỹ thuật số
5. Máy bơm được thiết kế để chịu được áp lực của vỏ
6. Tiêu chuẩn kích thước NEMA
1. Phốt cơ khí đặc biệt
2. Điện áp hoặc tần số khác 60Hz
| Người mẫu | P2 | Tốc độ truyền n = 2850 vòng/phút | |||||||||||||||
| 1~220V/240V | 3~380V/415V | KW | HP |
Q L/phút m3/h |
0 | 5 | 10 | 15 | 20 | 25 | 30 | 35 | 40 | 45 | 50 | 55 | 60 |
| 0 | 0.3 | 0.6 | 0.9 | 1.2 | 1.5 | 1.8 | 2.1 | 2.4 | 2.7 | 3 | 3.3 | 3.6 | |||||
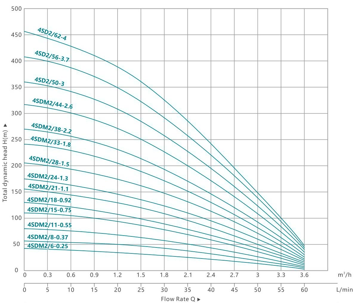
| 4SDM2/6-0,25 | 4SD2/6-0,25 | 0.25 | 0.33 | H(m) | 44 | 43 | 41 | 39 | 37 | 35 | 31 | 28 | 25 | 20 | 14 | 10 | 4 |
| 4SDM2/8-0,37 | 4SD2/8-0,37 | 0.37 | 0.5 | 58 | 57 | 55 | 52 | 50 | 47 | 42 | 37 | 33 | 27 | 19 | 14 | 6 | |
| 4SDM2/11-0,55 | 4SD2/11-0,55 | 0.55 | 0.75 | 80 | 79 | 76 | 72 | 68 | 65 | 57 | 51 | 45 | 37 | 26 | 19 | 8 | |
| 4SDM2/15-0,75 | 4SD2/15-0,75 | 0.75 | 1 | 110 | 107 | 104 | 98 | 93 | 89 | 78 | 69 | 62 | 51 | 36 | 26 | 11 | |
| 4SDM2/18-0,92 | 4SD2/18-0,92 | 0.92 | 1.25 | 131 | 129 | 124 | 117 | 112 | 106 | 94 | 83 | 74 | 61 | 43 | 31 | 13 | |
| 4SDM2/21-1.1 | 4SD2/21-1.1 | 1.1 | 1.5 | 153 | 150 | 145 | 137 | 130 | 124 | 109 | 97 | 86 | 71 | 50 | 36 | 15 | |
| 4SDM2/24-1.3 | 4SD2/24-1.3 | 1.3 | 1.75 | 175 | 172 | 166 | 156 | 149 | 142 | 125 | 110 | 98 | 82 | 58 | 41 | 17 | |
| 4SDM2/28-1.5 | 4SD2/28-1.5 | 1.5 | 2 | 204 | 200 | 193 | 182 | 174 | 165 | 146 | 129 | 115 | 95 | 67 | 48 | 20 | |
| 4SDM2/33-1.8 | 4SD2/33-1.8 | 1.8 | 2.5 | 241 | 236 | 228 | 215 | 205 | 195 | 172 | 152 | 135 | 112 | 79 | 56 | 23 | |
| 4SDM2/38-2.2 | 4SD2/38-2.2 | 2.2 | 3 | 277 | 272 | 262 | 247 | 236 | 224 | 198 | 175 | 156 | 129 | 91 | 65 | 27 | |
| 4SDM2/44-2.6 | 4SD2/44-2.6 | 2.6 | 3.5 | 321 | 315 | 304 | 286 | 273 | 260 | 229 | 202 | 180 | 150 | 106 | 75 | 31 | |
| / | 4SD2/50-3 | 3 | 4 | 365 | 358 | 345 | 325 | 310 | 295 | 260 | 230 | 205 | 170 | 120 | 85 | 35 | |
| / | 4SD2/56-3.7 | 3.7 | 5 | 409 | 400 | 386 | 364 | 347 | 330 | 291 | 258 | 230 | 190 | 134 | 95 | 39 | |
| / | 4SD2/62-4 | 4 | 5.5 | 453 | 443 | 428 | 403 | 384 | 366 | 322 | 285 | 254 | 211 | 149 | 105 | 43 | |
| Người mẫu | P2 | Tốc độ truyền n = 2850 vòng/phút | ||||||||||||
| 1~220V/240V | 3~380V/415V | KW | HP |
Q L/phút m3/h |
0 | 10 | 20 | 30 | 40 | 50 | 60 | 70 | 80 | 90 |
| 0 | 0.6 | 1.2 | 1.8 | 2.4 | 3 | 3.6 | 4.2 | 4.8 | 5.4 | |||||
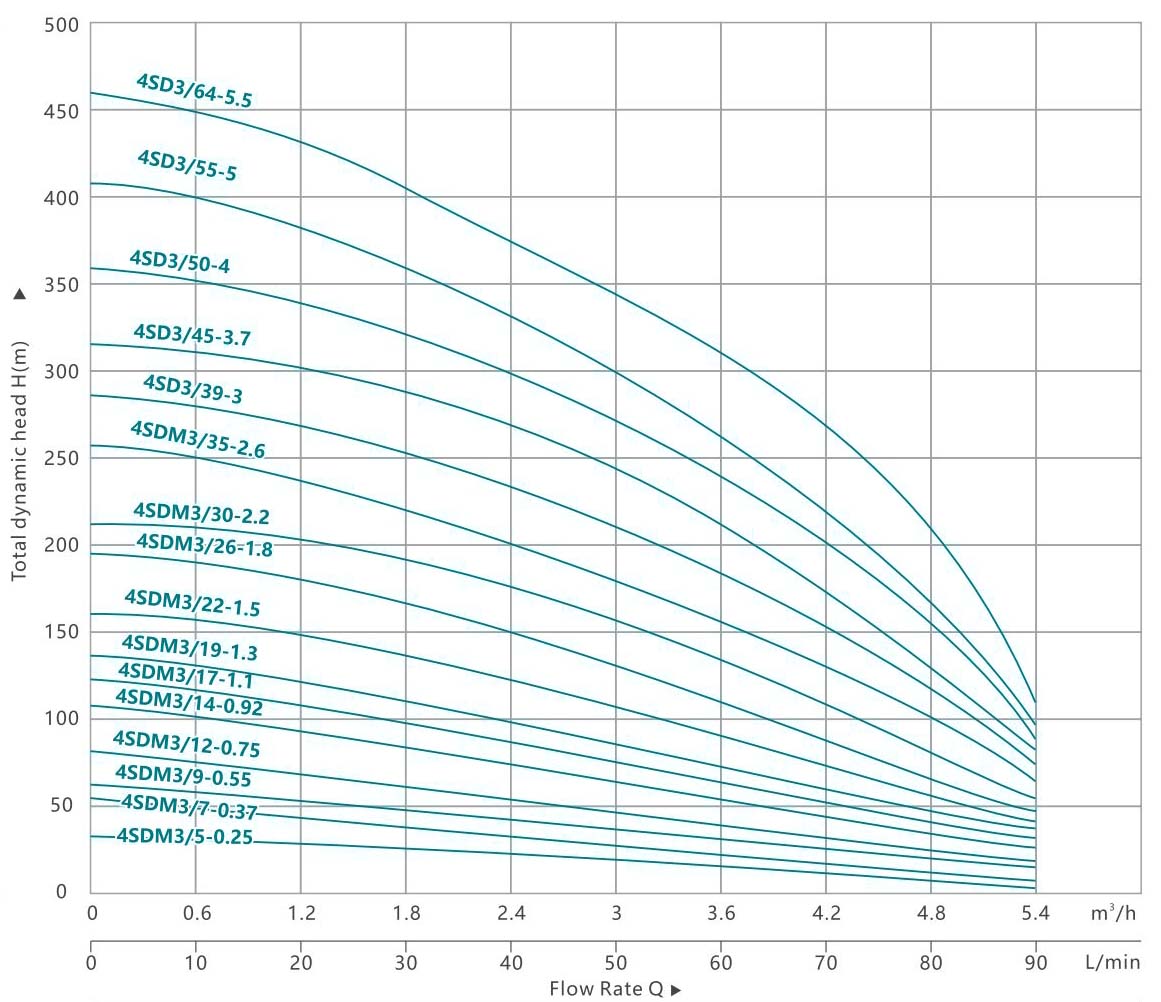
| 4SDM3/5-0,25 | 4SD3/5-0,25 | 0.25 | 0.33 | H(m) | 37 | 36 | 34 | 32 | 29 | 27 | 24 | 20 | 16 | 9 |
| 4SDM3/7-0,37 | 4SD3/7-0,37 | 0.37 | 0.5 | 51 | 50 | 48 | 45 | 41 | 37 | 34 | 28 | 22 | 13 | |
| 4SDM3/9-0,55 | 4SD3/9-0,55 | 0.55 | 0.75 | 66 | 64 | 61 | 58 | 52 | 48 | 43 | 36 | 29 | 16 | |
| 4SDM3/12-0,75 | 4SD3/12-0,75 | 0.75 | 1 | 88 | 85 | 82 | 77 | 70 | 64 | 58 | 48 | 38 | 22 | |
| 4SDM3/14-0,92 | 4SD3/14-0,92 | 0.92 | 1.25 | 102 | 99 | 95 | 90 | 81 | 75 | 67 | 56 | 45 | 25 | |
| 4SDM3/17-1.1 | 4SD3/17-1.1 | 1.1 | 1.5 | 124 | 121 | 116 | 109 | 99 | 91 | 82 | 68 | 54 | 31 | |
| 4SDM3/19-1.3 | 4SD3/19-1.3 | 1.3 | 1.75 | 139 | 135 | 129 | 122 | 110 | 102 | 91 | 76 | 61 | 34 | |
| 4SDM3/22-1.5 | 4SD3/22-1.5 | 1.5 | 2 | 161 | 156 | 150 | 141 | 128 | 118 | 106 | 88 | 70 | 40 | |
| 4SDM3/26-1.8 | 4SD3/26-1.8 | 1.8 | 2.5 | 190 | 185 | 177 | 166 | 151 | 139 | 125 | 104 | 83 | 47 | |
| 4SDM3/30-2.2 | 4SD3/30-2.2 | 2.2 | 3 | 219 | 213 | 204 | 192 | 174 | 161 | 144 | 120 | 96 | 54 | |
| 4SDM3/35-2.6 | 4SD3/35-2.6 | 2.6 | 3.5 | 256 | 249 | 238 | 224 | 203 | 187 | 168 | 140 | 112 | 63 | |
| / | 4SD3/39-3 | 3 | 4 | 285 | 277 | 265 | 250 | 226 | 209 | 187 | 156 | 125 | 70 | |
| / | 4SD3/45-3.7 | 3.7 | 5 | 329 | 320 | 306 | 288 | 261 | 241 | 216 | 180 | 144 | 81 | |
| / | 4SD3/50-4 | 4 | 5.5 | 365 | 355 | 340 | 320 | 290 | 268 | 240 | 200 | 160 | 90 | |
| / | 4SD3/55-5 | 5 | 7 | 402 | 391 | 374 | 352 | 319 | 294 | 264 | 220 | 176 | 99 | |
| / | 4SD3/64-5.5 | 5.5 | 7.5 | 467 | 454 | 435 | 410 | 371 | 342 | 307 | 256 | 205 | 115 | |
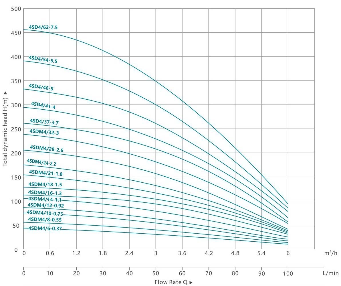
| Người mẫu | P2 | Dữ liệu hiệu suất 50Hz | |||||||||||||
| 1~220V/240V | 3~380V/415V | KW | HP |
Q L/phút m3/h |
0 | 10 | 20 | 30 | 40 | 50 | 60 | 70 | 80 | 90 | 100 |
| 0 | 0.6 | 1.2 | 1.8 | 2.4 | 3 | 3.6 | 4.2 | 4.8 | 5.4 | 6 | |||||
| 4SDM4/6-0,37 | 4SD4/6-0,37 | 0.37 | 0.5 | H(m) | 44 | 43 | 40 | 39 | 37 | 34 | 30 | 25 | 20 | 16 | 10 |
| 4SDM4/8-0,55 | 4SD4/8-0,55 | 0.55 | 0.75 | 58 | 57 | 54 | 52 | 49 | 46 | 40 | 34 | 27 | 21 | 13 | |
| 4SDM4/10-0,75 | 4SD4/10-0,75 | 0.75 | 1 | 73 | 71 | 67 | 65 | 61 | 57 | 50 | 42 | 34 | 26 | 16 | |
| 4SDM4/12-0,92 | 4SD4/12-0.92 | 0.92 | 1.25 | 88 | 85 | 80 | 78 | 73 | 68 | 60 | 50 | 41 | 31 | 19 | |
| 4SDM4/14-1.1 | 4SD4/14-1.1 | 1.1 | 1.5 | 102 | 99 | 94 | 91 | 85 | 80 | 70 | 59 | 48 | 36 | 22 | |
| 4SDM4/16-1.3 | 4SD4/16-1.3 | 1.3 | 1.75 | 117 | 114 | 107 | 104 | 98 | 91 | 80 | 67 | 54 | 42 | 26 | |
| 4SDM4/18-1.5 | 4SD4/18-1.5 | 1.5 | 2 | 131 | 128 | 121 | 117 | 110 | 103 | 90 | 76 | 61 | 47 | 29 | |
| 4SDM4/21-1.8 | 4SD4/21-1.8 | 1.8 | 2.5 | 153 | 149 | 141 | 137 | 128 | 120 | 105 | 88 | 71 | 55 | 34 | |
| 4SDM4/24-2.2 | 4SD4/24-2.2 | 2.2 | 3 | 175 | 170 | 161 | 156 | 146 | 137 | 120 | 101 | 82 | 62 | 38 | |
| 4SDM4/28-2.6 | 4SD4/28-2.6 | 2.6 | 3.5 | 204 | 199 | 188 | 182 | 171 | 160 | 140 | 118 | 95 | 73 | 45 | |
| 4SDM4/32-3 | 4SD4/32-3 | 3 | 4 | 234 | 227 | 214 | 208 | 195 | 182 | 160 | 134 | 109 | 83 | 51 | |
| / | 4SD4/37-3.7 | 3.7 | 5 | 270 | 263 | 248 | 241 | 226 | 211 | 185 | 155 | 126 | 96 | 59 | |
| / | 4SD4/41-4 | 4 | 5.5 | 299 | 291 | 275 | 267 | 250 | 234 | 205 | 172 | 139 | 107 | 66 | |
| / | 4SD4/46-5 | 5 |
7 |
336 | 327 | 308 | 299 | 281 | 262 | 230 | 193 | 156 | 120 | 74 | |
| / | 4SD4/54-5.5 | 5.5 | 7.5 | 394 | 383 | 362 | 351 | 329 | 308 | 270 | 227 | 184 | 140 | 86 | |
| / | 4SD4/62-7.5 | 7.5 | 10 | 453 | 440 | 415 | 403 | 378 | 353 | 310 | 260 | 211 | 161 | 99 | |
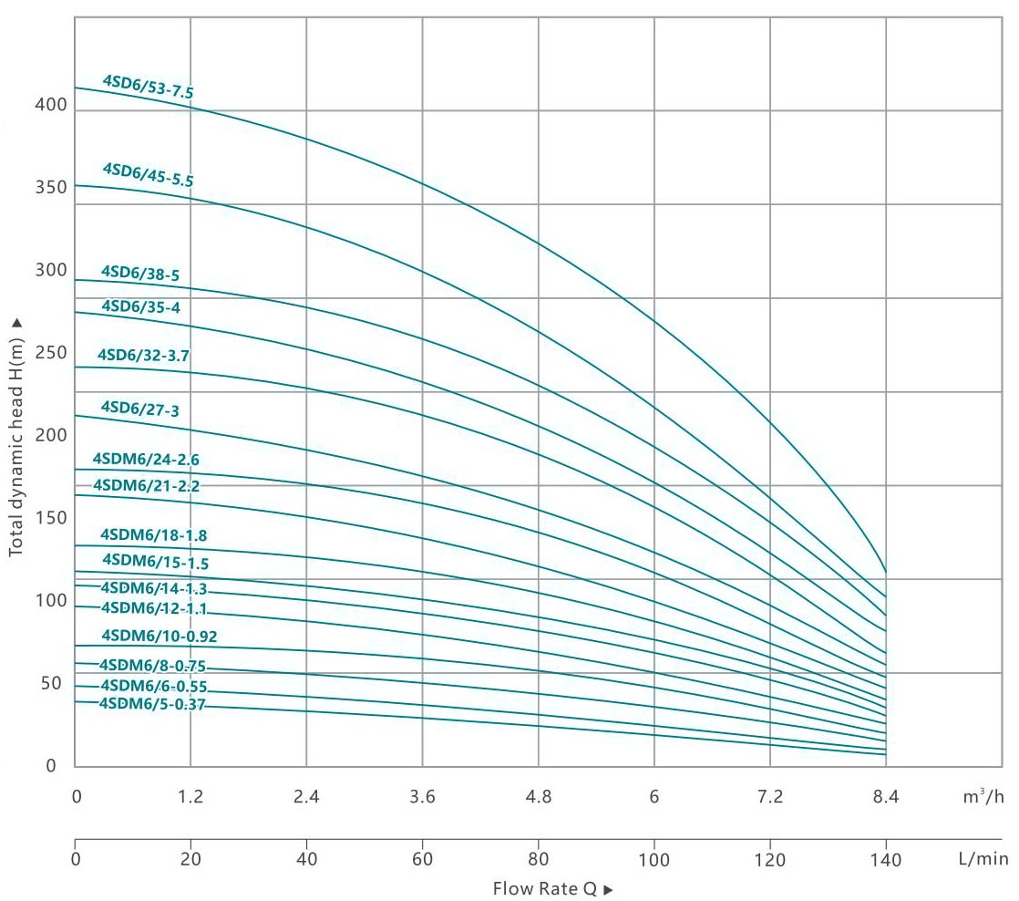
| Người mẫu | P2 | Tốc độ truyền n = 2850 vòng/phút | ||||||||||
| 1~220V/240V | 3~380V/415V | KW | HP |
Q L/phút m3/h |
0 | 20 | 40 | 60 | 80 | 100 | 120 | 140 |
| 0 | 1.2 | 2.4 | 3.6 | 4.8 | 6 | 7.2 | 8.4 | |||||
| 4SDM6/5-0,37 | 4SD6/5-0,37 | 0.37 | 0.5 | H(m) | 35 | 34 | 32 | 29 | 27 | 21 | 16 | 10 |
| 4SDM6/6-0,55 | 4SD6/6-0,55 | 0.55 | 0.75 | 41 | 40 | 38 | 35 | 32 | 25 | 19 | 12 | |
| 4SDM6/8-0,75 | 4SD6/8-0,75 | 0.75 | 1 | 55 | 54 | 50 | 46 | 43 | 34 | 26 | 16 | |
| 4SDM6/10-0,92 | 4SD6/10-0,92 | 0.92 | 1.25 | 69 | 67 | 63 | 58 | 54 | 42 | 32 | 20 | |
| 4SDM6/12-1.1 | 4SD6/12-1.1 | 1.1 | 1.5 | 83 | 80 | 76 | 70 | 65 | 50 | 38 | 24 | |
| 4SDM6/14-1.3 | 4SD6/14-1.3 | 1.3 | 1.75 | 97 | 94 | 88 | 81 | 76 | 59 | 45 | 28 | |
| 4SDM6/15-1.5 | 4SD6/15-1.5 | 1.5 | 2 | 104 | 101 | 95 | 87 | 81 | 63 | 48 | 30 | |
| 4SDM6/18-1.8 | 4SD6/18-1.8 | 1.8 | 2.5 | 124 | 121 | 113 | 104 | 97 | 76 | 58 | 36 | |
| 4SDM6/21-2.2 | 4SD6/21-2.2 | 2.2 | 3 | 145 | 141 | 132 | 122 | 113 | 88 | 67 | 42 | |
| 4SDM6/24-2.6 | 4SD6/24-2.6 | 2.6 | 3.5 | 166 | 161 | 151 | 139 | 130 | 101 | 77 | 48 | |
| / | 4SD6/27-3 | 3 | 4 | 186 | 181 | 170 | 157 | 146 | 113 | 86 | 54 | |
| / | 4SD6/32-3.7 | 3.7 | 5 | 221 | 214 | 202 | 186 | 173 | 134 | 102 | 64 | |
| / | 4SD6/35-4 | 4 | 5.5 | 242 | 235 | 221 | 203 | 189 | 147 | 112 | 70 | |
| / | 4SD6/38-5 | 5 | 7 | 262 | 255 | 239 | 220 | 205 | 160 | 122 | 76 | |
| / | 4SD6/45-5.5 | 5.5 | 7.5 | 311 | 302 | 284 | 261 | 243 | 189 | 144 | 90 | |
| / | 4SD6/53-7.5 | 7.5 | 10 | 366 | 355 | 334 | 307 | 286 | 223 | 170 | 106 | |
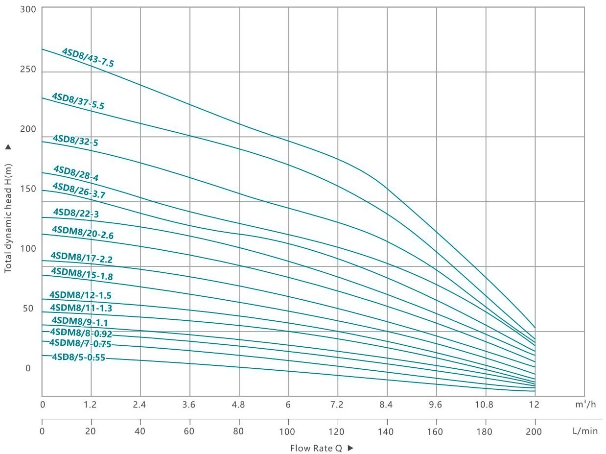
| Người mẫu | P2 | Tốc độ truyền n = 2850 vòng/phút | |||||||||||||
| 1~220v/240V | 3~380V/415V | KW | HP |
Q L/phút m3/h |
0 | 20 | 40 | 60 | 80 | 100 | 120 | 140 | 160 | 180 | 200 |
| 0 | 1.2 | 2.4 | 3.6 | 4.8 | 6 | 7.2 | 8.4 | 9.6 | 10.8 | 12 | |||||
| 4SDM8/5-0,55 | 4SD8/5-0,55 | 0.55 | 0.75 | H(m) | 31 | 30 | 27 | 26 | 24 | 23 | 21 | 18 | 14 | 9 | 5 |
| 4SDM8/7-0,75 | 4SD8/7-0,75 | 0.75 | 1 | 43 | 41 | 37 | 36 | 34 | 32 | 29 | 25 | 20 | 13 | 7 | |
| 4SDM8/8-0,92 | 4SD8/8-0,92 | 0.92 | 1.25 | 50 | 47 | 42 | 41 | 38 | 36 | 34 | 29 | 22 | 14 | 8 | |
| 4SDM8/9-1.1 | 4SD8/9-1.1 | 1.1 | 1.5 | 56 | 53 | 48 | 46 | 43 | 41 | 38 | 32 | 25 | 16 | 9 | |
| 4SDM8/11-1.3 | 4SD8/11-1.3 | 1.3 | 1.75 | 68 | 65 | 58 | 56 | 53 | 50 | 46 | 40 | 31 | 20 | 12 | |
| 4SDM8/12-1.5 | 4SD8/12-1.5 | 1.5 | 2 | 74 | 71 | 64 | 61 | 58 | 54 | 50 | 43 | 34 | 22 | 13 | |
| 4SDM8/15-1.8 | 4SD8/15-1.8 | 1.8 | 2.5 | 93 | 90 | 81 | 78 | 73 | 69 | 64 | 56 | 44 | 30 |
18 |
|
| 4SDM8/17-2.2 | 4SD8/17-2.2 | 2.2 | 3 | 106 | 102 | 92 | 88 | 83 | 78 | 73 | 64 | 50 | 34 | 20 | |
| 4SDM8/20-2.6 | 4SD8/20-2.6 | 2.6 | 3.5 | 125 | 120 | 108 | 104 | 98 | 92 | 86 | 75 | 59 | 40 | 24 | |
| / | 4SD8/22-3 | 3 | 4 | 137 | 132 | 119 | 114 | 107 | 101 | 94 | 83 | 65 | 44 | 26 | |
| / | 4SD8/26-3.7 | 3.7 | 5 | 162 | 156 | 140 | 135 | 127 | 119 | 112 | 98 | 76 | 52 | 31 | |
| / | 4SD8/28-4 | 4 | 5.5 | 174 | 168 | 151 | 145 | 137 | 129 | 120 | 105 | 82 | 56 | 33 | |
| / | 4SD8/32-5 | 5 | 7 | 199 | 192 | 173 | 166 | 156 | 147 | 137 | 120 | 94 | 64 | 38 | |
| / | 4SD8/37-5.5 | 5.5 | 7.5 | 231 | 222 | 200 | 192 | 181 | 170 | 159 | 139 | 109 | 74 | 44 | |
| / | 4SD8/43-7.5 | 7.5 | 10 | 268 | 258 | 232 | 223 | 210 | 197 | 184 | 162 | 126 | 86 | 51 | |
| Người mẫu | P2 | Tốc độ truyền n = 2850 vòng/phút | ||||||||||||
| 1~220V/240V | 3~380V/415V | KW | HP |
Q L/phút m3/h |
0 | 30 | 60 | 90 | 120 | 150 | 180 | 210 | 240 | 270 |
| 0 | 1.8 | 3.6 | 5.4 | 7.2 | 9 | 10.8 | 12.6 | 14.4 | 16.2 | |||||
| 4SDM12/4-0,75 | 4SD12/4-0,75 | 0.75 | 1 | H(m) | 25 | 24 | 23 | 21 | 19 | 18 | 15 | 12 | 9 | 4 |
| 4SDM12/5-0,92 | 4SD12/5-0.92 | 0.92 | 1.25 | 32 | 30 | 29 | 26 | 24 | 22 | 19 | 15 | 12 | 5 | |
| 4SDM12/6-1.1 | 4SD12/6-1.1 | 1.1 | 1.5 | 38 | 36 | 34 | 31 | 29 | 26 | 23 | 18 | 14 | 6 | |
| 4SDM12/7-1.3 | 4SD12/7-1.3 | 1.3 | 1.75 | 44 | 42 | 40 | 36 | 34 | 31 | 27 | 21 | 16 | 7 | |
| 4SDM12/8-1.5 | 4SD12/8-1.5 | 1.5 | 2 | 50 | 48 | 46 | 42 | 38 | 35 | 30 | 24 | 18 | 8 | |
| 4SDM12/10-1.8 | 4SD12/10-1.8 | 1.8 | 2.5 | 63 | 60 | 57 | 52 | 48 | 44 | 38 | 30 | 23 | 10 | |
| 4SDM12/11-2.2 | 4SD12/11-2.2 | 2.2 | 3 | 69 | 66 | 63 | 57 | 53 | 48 | 42 | 33 | 25 | 11 | |
| 4SDM12/13-2.6 | 4SD12/13-2.6 | 2.6 | 3.5 | 82 | 78 | 74 | 68 | 62 | 57 | 49 | 39 | 30 | 13 | |
| / | 4SD12/15-3 | 3 | 4 | 95 | 90 | 86 | 78 | 72 | 66 | 57 | 45 | 35 | 15 | |
| / | 4SD12/17-3.7 | 3.7 | 5 | 107 | 102 | 97 | 88 | 82 | 75 | 65 | 51 | 39 | 17 | |
| / | 4SD12/19-4 | 4 | 5.5 | 120 | 114 | 108 | 99 | 91 | 84 | 72 | 57 | 44 | 19 | |
| / | 4SD12/21-5 | 5 | 7 | 132 | 126 | 120 | 109 | 101 | 92 | 80 | 63 | 48 | 21 | |
| / | 4SD12/25-5.5 | 5.5 | 7.5 | 158 | 150 | 143 | 130 | 120 | 110 | 95 | 75 | 58 | 25 | |
| / | 4SD12/29-7.5 | 7.5 | 10 | 183 | 174 | 165 | 151 | 139 | 128 | 110 | 87 | 67 | 29 | |
| Người mẫu | P2 | Tốc độ truyền n = 2850 vòng/phút | |||||||||||
| 1~220V/240V | 3~380V/415V | KW | HP |
Q L/phút m3/h |
0 | 50 | 100 | 150 | 200 | 250 | 300 | 350 | 400 |
| 0 | 3 | 6 | 9 | 12 | 15 | 18 | 21 | 24 | |||||
| 4SDM16/4-1.1 | 4SD16/4-1.1 | 1.1 | 1.5 | H(m) | 23 | 22 | 21 | 20 | 17 | 15 | 12 | 9 | 7 |
| 4SDM16/5-1.3 | 4SD16/5-1.3 | 1.3 | 1.75 | 29 | 28 | 27 | 26 | 22 | 19 | 16 | 11 | 9 | |
| 4SDM16/6-1.5 | 4SD16/6-1.5 | 1.5 | 2 | 35 | 34 | 32 | 31 | 26 | 22 | 19 | 13 | 11 | |
| 4SDM16/8-1.8 | 4SD16/8-1.8 | 1.8 | 2.5 | 46 | 45 | 42 | 42 | 35 | 30 | 25 | 18 | 14 | |
| 4SDM16/9-2.2 | 4SD16/9-2.2 | 2.2 | 3 | 52 | 51 | 48 | 47 | 39 | 33 | 28 | 20 | 16 | |
| 4SDM16/10-2.6 | 4SD16/10-2.6 | 2.6 | 3.5 | 58 | 57 | 53 | 52 | 44 | 37 | 31 | 22 | 18 | |
| / | 4SD16/11-3 | 3 | 4 | 64 | 62 | 58 | 57 | 48 | 41 | 34 | 24 | 20 | |
| / | 4SD16/13-3.7 | 3.7 | 5 | 75 | 73 | 69 | 68 | 57 | 48 | 40 | 29 | 23 | |
| / | 4SD16/15-4 | 4 | 5.5 | 87 | 85 | 80 | 78 | 65 | 56 | 47 | 33 | 27 | |
| / | 4SD16/17-5 | 5 | 7 | 99 | 96 | 90 | 88 | 74 | 63 | 53 | 37 | 31 | |
| / | 4SD16/20-5.5 | 5.5 | 7.5 | 116 | 113 | 106 | 104 | 87 | 74 | 62 | 44 | 36 | |
| / | 4SD16/22-7.5 | 7.5 | 10 | 128 | 124 | 117 | 114 | 96 | 81 | 68 | 48 | 40 | |
| cân nhảy dù | |||||
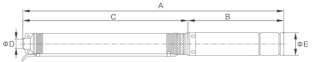
| Người mẫu | A | B | C | D | E |
| 4SDM2/6-0,25 | 594 | 272 | 322 | 11/4"-11/2" | f95 |
| 4SDM2/8-0,37 | 661 | 287 | 374 | 11/4"-11/2" | f95 |
| 4SDM2/11-0,55 | 760 | 307 | 453 | 11/4"-11/2" | f95 |
| 4SDM2/15-0,75 | 917 | 322 | 595 | 11/4"-11/2" | f95 |
| 4SDM2/18-0,92 | 1052 | 342 | 710 | 11/4"-11/2" | f95 |
| 4SDM2/21-1.1 | 1181 | 392 | 789 | 11/4"-11/2" | f95 |
| 4SDM2/24-1.3 | 1316 | 412 | 904 | 11/4"-11/2" | f95 |
| 4SDM2/28-1.5 | 1451 | 442 | 1009 | 11/4"-11/2" | f95 |
| 4SDM2/33-1.8 | 1623 | 482 | 1141 | 11/4"-11/2" | f95 |
| 4SDM2/38-2.2 | 1898 | 590 | 1308 | 11/4"-11/2" | f95 |
| 4SDM2/44-2.6 | 2142 | 640 | 1502 | 11/4"-11/2" | f95 |
| 4SD2/50-3 | 2271 | 605 | 1666 | 11/4"-11/2" | f95 |
| 4SD2/56-3.7 | 2485 | 625 | 1860 | 11/4"-11/2" | f95 |
| 4SD2/62-4 | 2663 | 645 | 2018 | 11/4"-11/2" | f95 |
| 4SDM3/5-0,25 | 583 | 272 | 311 | 11/4"-11/2" | f95 |
| 4SDM3/7-0,37 | 657 | 287 | 370 | 11/4"-11/2" | f95 |
| 4SDM3/9-0,55 | 736 | 307 | 429 | 11/4"-11/2" | f95 |
| 4SDM3/12-0,75 | 875 | 322 | 553 | 11/4"-11/2" | f95 |
| 4SDM3/14-0,92 | 954 | 342 | 612 | 11/4"-11/2" | f95 |
| 4SDM3/17-1.1 | 1128 | 392 | 736 | 11/4"-11/2" | f95 |
| 4SDM3/19-1.3 | 1207 | 412 | 795 | 11/4"-11/2" | f95 |
| 4SDM3/22-1.5 | 1325 | 442 | 883 | 11/4"-11/2" | f95 |
| 4SDM3/26-1.8 | 1519 | 482 | 1037 | 11/4"-11/2" | f95 |
| 4SDM3/30-2.2 | 1745 | 590 | 1155 | 11/4"-11/2" | f95 |
| 4SDM3/35-2.6 | 1978 | 640 | 1338 | 11/4"-11/2" | f95 |
| 4SD3/39-3 | 2061 | 605 | 1456 | 11/4"-11/2" | f95 |
| 4SD3/45-3.7 | 2293 | 625 | 1668 | 11/4"-11/2" | f95 |
| 4SD3/50-4 | 2466 | 645 | 1821 | 11/4"-11/2" | f95 |
| 4SD3/55-5 | 2720 | 715 | 2005 | 11/4"-11/2" | f95 |
| 4SD3/64-5.5 | 3095 | 789 | 2306 | 11/4"-11/2" | f95 |
| 4SDM4/6-0,37 | 624 | 287 | 337 | 11/4"-11/2"-2" | f95 |
| 4SDM4/8-0,55 | 701 | 307 | 394 | 11/4"-11/2"-2" | f95 |
| 4SDM4/10-0,75 | 774 | 322 | 452 | 11/4"-11/2"-2" | f95 |
| 4SDM4/12-0,92 | 888 | 342 | 546 | 11/4"-11/2"-2" | f95 |
| 4SDM4/14-1.1 | 995 | 392 | 603 | 11/4"-11/2"-2" | f95 |
| 4SDM4/16-1.3 | 1109 | 412 | 697 | 11/4"-11/2"-2" | f95 |
| 4SDM4/18-1.5 | 1197 | 442 | 755 | 11/4"-11/2"-2" | f95 |
| 4SDM4/21-1.8 | 1323 | 482 | 841 | 11/4"-11/2"-2" | f95 |
| 4SDM4/24-2.2 | 1554 | 590 | 964 | 11/4"-11/2"-2" | f95 |
| 4SDM4/28-2.6 | 1719 | 640 | 1079 | 11/4"-11/2"-2" | f95 |
| 4SDM4/32-3 | 1799 | 605 | 1194 | 11/4"-11/2"-2" | f95 |
| 4SD4/37-3.7 | 2000 | 625 | 1375 | 11/4"-11/2"-2" | f95 |
| 4SD4/41-4 | 2135 | 645 | 1490 | 11/4"-11/2"-2" | f95 |
| 4SD4/46-5 | 2391 | 715 | 1676 | 11/4"-11/2"-2" | f95 |
| 4SD4/54-5.5 | 2732 | 789 | 1943 | 11/4"-11/2"-2" | f95 |
| 4SD4/62-7.5 | 3013 | 840 | 2173 | 11/4"-11/2"-2" | f95 |
| cân nhảy dù | |||||
| Người mẫu | A | B | C | D | E |
| 4SDM6/5-0,37 | 622 | 287 | 335 | 11/4"-11/2"-2" | f95 |
| 4SDM6/6-0,55 | 677 | 307 | 370 | 11/4"-11/2"-2" | f95 |
| 4SDM6/8-0,75 | 760 | 322 | 438 | 11/4"-11/2"-2" | f95 |
| 4SDM6/10-0,92 | 849 | 342 | 507 | 11/4"-11/2"-2" | f95 |
| 4SDM6/12-1.1 | 1004 | 392 | 612 | 11/4"-11/2"-2" | f95 |
| 4SDM6/14-1.3 | 1092 | 412 | 680 | 11/4"-11/2"-2" | f95 |
| 4SDM6/15-1.5 | 1193 | 442 | 751 | 11/4"-11/2"-2" | f95 |
| 4SDM6/18-1.8 | 1336 | 482 | 854 | 11/4"-11/2"-2" | f95 |
| 4SDM6/21-2.2 | 1547 | 590 | 957 | 11/4"-11/2"-2" | f95 |
| 4SDM6/24-2.6 | 1736 | 640 | 1096 | 11/4"-11/2"-2" | f95 |
| 4SD6/27-3 | 1804 | 605 | 1199 | 11/4"-11/2"-2" | f95 |
| 4SD6/32-3.7 | 1995 | 625 | 1370 | 11/4"-11/2"-2" | f95 |
| 4SD6/35-4 | 2154 | 645 | 1509 | 11/4"-11/2"-2" | f95 |
| 4SD6/38-5 | 2327 | 715 | 1612 | 11/4"-11/2"-2" | f95 |
| 4SD6/45-5.5 | 2684 | 789 | 1895 | 11/4"-11/2"-2" | f95 |
| 4SD6/53-7.5 | 3045 | 840 | 2205 | 11/4"-11/2"-2" | f95 |
| 4SDM8/5-0,55 | 658 | 307 | 351 | 11/2"-2" | f95 |
| 4SDM8/7-0,75 | 749 | 322 | 427 | 11/2"-2" | f95 |
| 4SDM8/8-0,92 | 807 | 342 | 465 | 11/2"-2" | f95 |
| 4SDM8/9-1.1 | 895 | 392 | 503 | 11/2"-2" | f95 |
| 4SDM8/11-1.3 | 1027 | 412 | 615 | 11/2"-2" | f95 |
| 4SDM8/12-1.5 | 1095 | 442 | 653 | 11/2*-2" | f95 |
| 4SDM8/15-1.8 | 1285 | 482 | 803 | 11/2"-2" | f95 |
| 4SDM8/17-2.2 | 1469 | 590 | 879 | 11/2"-2" | f95 |
| 4SDM8/20-2.6 | 1633 | 640 | 993 | 11/2"-2" | f95 |
| 4SD8/22-3 | 1674 | 605 | 1069 | 11/2"-2" | f95 |
| 4SD8/26-3.7 | 1883 | 625 | 1258 | 11/2"-2" | f95 |
| 4SD8/28-4 | 1978 | 645 | 1333 | 11/2"-2" | f95 |
| 4SD8/32-5 | 2237 | 715 | 1522 | 11/2"-2" | f95 |
| 4SD8/37-5.5 | 2507 | 789 | 1718 | 11/2"-2" | f95 |
| 4SD8/43-7.5 | 2822 | 840 | 1982 | 11/2"-2" | f95 |
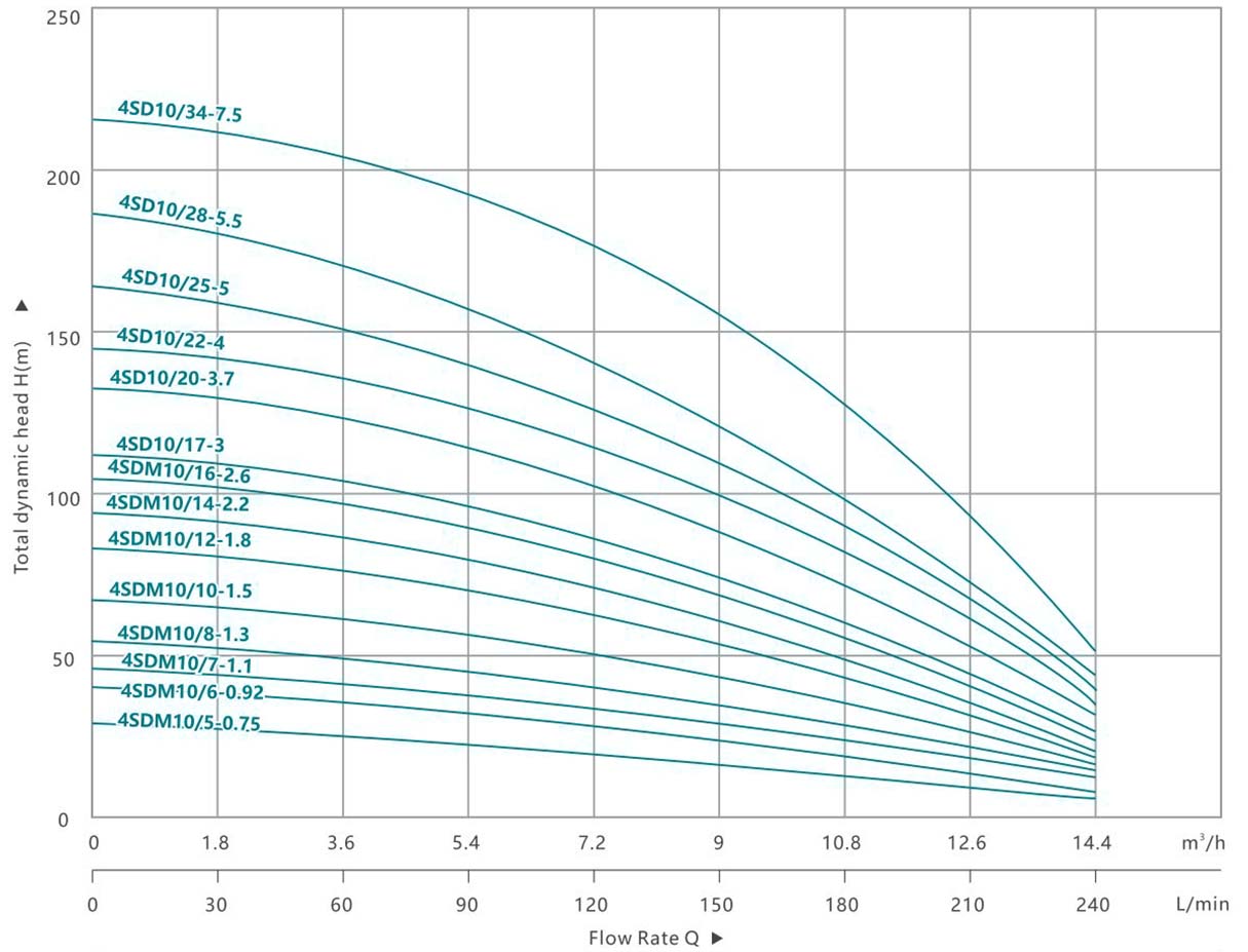
| 4SDM10/5-0,75 | 693 | 322 | 371 | 11/2"-2" | f95 |
| 4SDM10/6-0,92 | 754 | 342 | 412 | 11/2"-2" | f95 |
| 4SDM10/7-1.1 | 844 | 392 | 452 | 11/2"-2" | f95 |
| 4SDM10/8-1.3 | 905 | 412 | 493 | 11/2"-2" | f95 |
| 4SDM10/10-1.5 | 1052 | 442 | 610 | 11/2"-2" | f95 |
| 4SDM10/12-1.8 | 1174 | 482 | 692 | 11/2"-2" | f95 |
| 4SDM10/14-2.2 | 1363 | 590 | 773 | 11/2"-2" | f95 |
| 4SDM10/16-2.6 | 1530 | 640 | 890 | 11/2"-2" | f95 |
| 4SD10/17-3 | 1536 | 605 | 931 | 11/2"-2" | f95 |
| 4SD10/20-3.7 | 1678 | 625 | 1053 | 11/2"-2" | f95 |
| 4SD10/22-4 | 1815 | 645 | 1170 | 11/2"-2" | f95 |
| 4SD10/25-5 | 2007 | 715 | 1292 | 11/2"-2" | f95 |
| 4SD10/28-5.5 | 2210 | 789 | 1421 | 11/2"-2" | f95 |
| 4SD10/34-7.5 | 2541 | 840 | 1701 | 11/2"-2" | f95 |
| cân nhảy dù | |||||
| Người mẫu | A | B | C | D | E |
| 4SDM12/4-0,75 | 689 | 322 | 367 | 11/2"-2" | f95 |
| 4SDM12/5-0,92 | 756 | 342 | 414 | 11/2"-2" | f95 |
| 4SDM12/6-1.1 | 854 | 392 | 462 | 11/2"-2" | f95 |
| 4SDM12/7-1.3 | 922 | 412 | 510 | 11/2"-2" | f95 |
| 4SDM12/8-1.5 | 1051 | 442 | 609 | 11/2"-2" | f95 |
| 4SDM12/10-1.8 | 1186 | 482 | 704 | 11/2"-2" | f95 |
| 4SDM12/11-2.2 | 1341 | 590 | 751 | 11/2"-2" | f95 |
| 4SDM12/13-2.6 | 1487 | 640 | 847 | 11/2"-2" | f95 |
| 4SD12/15-3 | 1583 | 605 | 978 | 11/2"-2" | f95 |
| 4SD12/17-3.7 | 1698 | 625 | 1073 | 11/2"-2" | f95 |
| 4SD12/19-4 | 1814 | 645 | 1169 | 11/2"-2" | f95 |
| 4SD12/21-5 | 2030 | 715 | 1315 | 11/2"-2" | f95 |
| 4SD12/25-5.5 | 2301 | 789 | 1512 | 11/2"-2" | f95 |
| 4SD12/29-7.5 | 2594 | 840 | 1754 | 11/2"-2" | f95 |
| 4SDM16/4-1.1 | 862 | 392 | 470 | 2" | f95 |
| 4SDM16/5-1.3 | 951 | 412 | 539 | 2" | f95 |
| 4SDM16/6-1.5 | 1050 | 442 | 608 | 2" | f95 |
| 4SDM16/8-1.8 | 1228 | 482 | 746 | 2" | f95 |
| 4SDM16/9-2.2 | 1405 | 590 | 815 | 2" | f95 |
| 4SDM16/10-2.6 | 1524 | 640 | 884 | 2" | f95 |
| 4SD16/11-3 | 1558 | 605 | 953 | 2" | f95 |
| 4SD16/13-3..7 | 1716 | 625 | 1091 | 2" | f95 |
| 4SD16/15-4 | 1874 | 645 | 1229 | 2" | f95 |
| 4SD16/17-5 | 2082 | 715 | 1367 | 2" | f95 |
| 4SD16/20-5.5 | 2369 | 789 | 1580 | 2" | f95 |
| 4SD16/22-7.5 | 2558 | 840 | 1718 | 2" | f95 |
| số | Tên |
| 1 | Lò xo kẹp |
| 2 | nắp cuối |
| 3 | tay áo mở rộng |
| 4 | mang |
| 5 | Mối quan hệ |
| 6 | rôto động cơ |
| 7 | Mối quan hệ |
| 8 | Phốt cơ khí |
| 9 | stator động cơ điện |
| 10 | Dây điện |
| 11 | Vòng đệm hình chữ “O” |
| 12 | Buồng nhiên liệu |
| 13 | Máy giặt |
| 14 | Vít |
| 15 | Vòng đệm hình chữ “O” |
| 16 | Vít |
| 17 | Bu lông hai đầu |
| 18 | Máy giặt |
| 19 | quả óc chó |
| 20 | Vòng buộc |
| 21 | Máy giặt |
| 22 | Nắp cát |
| 23 | Ống lót bảo vệ cáp |
| 24 | Vít |
| 25 | Cánh |
| 26 | Màn hình |
| 27 | khung hút |
| 28 | Kẹp cáp |
| 29 | Kẹp. |
| 30 | Vít |
| 31 | Vỏ bơm |
| 32 | Vít |
| 33 | khớp nối |
| 34 | Bushing |
| 35 | Đây |
| 36 | Một cái ống |
| 37 | Trung cấp |
| 38 | Bánh xe |
| 39 | Điều chỉnh máy giặt |
| 40 | Vỏ khuếch tán |
| 41 | Máy khuếch tán |
| 42 | Một cái ống |
| 43 | Vít |
| 44 | Vòng bi cao su |
| 45 | Ủng hộ |
| 46 | van kiểm tra |
| 47 | Vòng đệm hình chữ “O” |
| 48 | Xuất khẩu |
1. Công tắc nguồn
2. Cassette điều khiển tự động
3. Đường ống
4. Van
5. Miếng đệm
6. Mức tĩnh
7. Cực trên
8. Cáp
9. Vâng
10. Mức độ khuấy
11. Thanh giữa
12. Vỏ máy bơm
13. Hạ cực
14. Động cơ điện dưới nước
| kích cỡ | Điện áp(v) | Công suất (kw) | Mặt cắt cáp (mm2) | 0,7mm2 | 1mm2 | 1,5 mm2 | 2mm2 | 2,5 mm 2 | 3mm2 | 4mm2 | 6mm2 | 10mm2 | 16mm2 | 25 mm 2 | 35mm2 | 50mm2 |
| 4" | 220 | 0.37 | Chiều dài cáp (m) | 50 | 80 | 100 | ||||||||||
| 0.55 | 35 | 55 | 80 | 105 | 130 | |||||||||||
| 0.75 | 20 | 35 | 55 | 75 | 90 | 110 | 150 | |||||||||
| 0.95 | 32 | 52 | 70 | 85 | 105 | 140 | ||||||||||
| 1.1 | 30 | 48 | 60 | 79 | 100 | 127 | 190 | |||||||||
| 1.5 | 25 | 34 | 50 | 57 | 80 | 92 | 137 | 228 | ||||||||
| 1.8 | 23 | 32 | 48 | 55 | 78 | 90 | 135 | 226 | ||||||||
| 2.2 | 22 | 30 | 43 | 50 | 68 | 102 | 170 | 230 | ||||||||
| 3.0 | 25 | 30 | 45 | 60 | 80 | 120 | 200 | 330 | ||||||||
| 3.5 | 25 | 30 | 45 | 60 | 100 | 180 | 290 | |||||||||
| 4.0 | 25 | 35 | 55 | 90 | 150 | 220 | 300 |
| kích cỡ | Điện áp(v) | Công suất (kw) | Mặt cắt cáp (mm2) | 0,7mm2 | 1mm2 | 1,5 mm2 | 2mm2 | 2,5 mm 2 | 3mm2 | 4mm2 | 6mm2 | 10mm2 | 16mm2 | 25 mm 2 | 35mm2 | 50mm2 |
| 4" | 380 | 0.37 | Chiều dài cáp (m) | 200 | 315 | |||||||||||
| 0.55 | 100 | 210 | 320 | |||||||||||||
| 0.75 | 80 | 165 | 280 | |||||||||||||
| 1.1 | 120 | 180 | 250 | 308 | ||||||||||||
| 1.5 | 90 | 150 | 200 | 250 | 300 | 400 | ||||||||||
| 2.2 | 65 | 114 | 150 | 191 | 250 | 305 | 457 | |||||||||
| 6" | 3.0 | 77 | 100 | 128 | 170 | 205 | 307 | 390 | ||||||||
| 4.0 | 61 | 80 | 102 | 120 | 153 | 244 | 406 | |||||||||
| 5.5 | 47 | 60 | 70 | 90 | 110 | 165 | 312 | |||||||||
| 7.5 | 65 | 80 | 130 | 200 | 320 | |||||||||||
| 9.2 | 72 | 108 | 178 | 282 | 432 | |||||||||||
| 11 | 63 | 94 | 155 | 246 | 370 | |||||||||||
| 13 | 78 | 129 | 205 | 314 | ||||||||||||
| 15 | 69 | 114 | 180 | 277 | ||||||||||||
| 18.5 | 55 | 91 | 145 | 222 | 305 | |||||||||||
| 22 | 49 | 81 | 128 | 196 | 290 | |||||||||||
| 25 | 68 | 107 | 165 | 226 | 314 | |||||||||||
| 30 | 60 | 95 | 145 | 200 | 275 | |||||||||||
| 37 | 52 | 82 | 125 | 170 | 234 | |||||||||||
| 45.0 | 45 | 71 | 108 | 147 | 203 |