Hãy chọn thương hiệu ZΞN để có máy bơm chìm giếng sâu 6SP chất lượng cao và đáng tin cậy. Mã định danh*6SP*6: Đường kính lỗ khoan: 148mm (6")* SP: thép không gỉ* 30: Công suất (m³/h)*03: Cảnh* 3.0: Công suất động cơ (KW)
Máy bơm chìm giếng sâu 6SP
1. Cung cấp nước từ giếng, hồ chứa.
2. Dùng trong gia đình, dân dụng và công nghiệp.
3. Dùng trong vườn và tưới tiêu.
1. Nhiệt độ chất lỏng tối đa có thể đạt tới + 35°C.
2. Hàm lượng cát tối đa: 0,25%.
3. Độ sâu lặn tối đa: 100m.
4. Đường kính giếng tối thiểu: 6".
1. Động cơ điện có nhiều cuộn dây hoặc màn chắn kín
2. Ba pha: 380V - 415V/50Hz
3. Được trang bị hộp điều khiển khởi động hoặc hộp điều khiển tự động kỹ thuật số
4. Máy bơm được thiết kế sử dụng lực căng vỏ
5. Tiêu chuẩn kích thước NEMA
1. Phốt cơ khí đặc biệt
2. Điện áp hoặc tần số khác 60Hz
| Người mẫu | P2 | Tốc độ truyền n = 2850 vòng/phút | |||||||||||
| 3~380v/415v | KW | HP |
Q L/phút m³/h |
0 | 167 | 250 | 333 | 417 | 500 | 583 | 667 | 750 | 800 |
| 0 | 10 | 15 | 20 | 25 | 30 | 35 | 40 | 45 | 46 | ||||
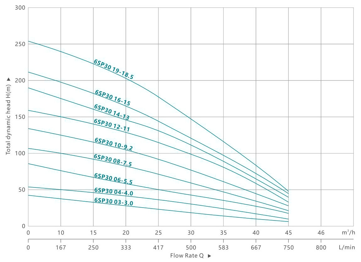
| 6SP30 03-3.0 | 3.0 | 4.0 | H(m) | 40 | 38 | 35 | 32 | 28 | 23 | 18 | 11 | 8 | 3 |
| 6SP30 04-4.0 | 4.0 | 5.5 | 53 | 50 | 46 | 42 | 38 | 31 | 24 | 14 | 10 | 4 | |
| 6SP30 06-5.5 | 5.5 | 7.5 | 79 | 75 | 69 | 64 | 56 | 47 | 36 | 22 | 16 | 5 | |
| 6SP30 08-7.5 | 7.5 | 10 | 106 | 100 | 92 | 85 | 75 | 62 | 48 | 29 | 21 | 8 | |
| 6SP30 10-9.2 | 9.2 | 12.5 | 132 | 125 | 115 | 106 | 94 | 78 | 60 | 36 | 26 | 9 | |
| 6SP30 12-11 | 11 | 15 | 158 | 150 | 138 | 127 | 113 | 94 | 72 | 43 | 31 | 10 | |
| 6SP30 14-13 | 13 | 17.5 | 185 | 175 | 161 | 148 | 132 | 109 | 84 | 50 | 36 | 12 | |
| 6SP30 16-15 | 15 | 20 | 211 | 200 | 184 | 170 | 150 | 125 | 96 | 58 | 42 | 13 | |
| 6SP30 19-18.5 | 18.5 | 25 | 251 | 238 | 219 | 201 | 179 | 148 | 114 | 68 | 49 | 14 | |
| Người mẫu | P2 | Tốc độ truyền n = 2850 vòng/phút | |||||||||||
| 3~380v/415v | KW | HP |
Q L/phút m³/h |
0 | 333 | 417 | 583 | 667 | 767 | 833 | 917 | 1000 | 1100 |
| 0 | 20 | 25 | 35 | 40 | 46 | 50 | 55 | 60 | 71 | ||||
| 6SP46 02-3.0 | 3.0 | 4.0 | H(m) | 27 | 24 | 22 | 20 | 19 | 18 | 16 | 15 | 14 | 4 |
| 6SP46 03A-4.0 | 4.0 | 5.5 | 37 | 34 | 31 | 27 | 25 | 21 | 19 | 16 | 12 | 4 | |
| 6SP46 03-5.5 | 5.5 | 7.5 | 40 | 36 | 33 | 30 | 29 | 26 | 24 | 23 | 21 | 5 | |
| 6SP46 05-7.5 | 7.5 | 10 | 66 | 60 | 55 | 50 | 48 | 44 | 40 | 38 | 35 | 6 | |
| 6SP46 06-9.2 | 9.2 | 12.5 | 79 | 72 | 66 | 60 | 57 | 53 | 48 | 45 | 42 | 7 | |
| 6SP46 07-11 | 11 | 15 | 92 | 84 | 77 | 70 | 67 | 61 | 56 | 53 | 49 | 8 | |
| 6SP46 08-13 | 13 | 17.5 | 106 | 96 | 88 | 80 | 76 | 70 | 64 | 60 | 56 | 9 | |
| 6SP46 10-15 | 15 | 20 | 132 | 120 | 110 | 100 | 95 | 88 | 80 | 75 | 70 | 10 | |
| 6SP46 12-18.5 | 18.5 | 25 | 158 | 144 | 132 | 120 | 114 | 105 | 96 | 90 | 84 | 12 | |
| Người mẫu | P2 | Tốc độ truyền n = 2850 vòng/phút | |||||||||||
| 3~380v/415v | KW | HP |
Q L/phút m³/h |
0 | 333 | 500 | 667 | 750 | 833 | 917 | 1000 | 1167 | 1333 |
| 0 | 20 | 30 | 40 | 45 | 50 | 55 | 60 | 70 | 80 | ||||
| 6SP60 02-4.0 | 4.0 | 5.5 | H(m) | 28 | 26 | 24 | 22 | 21 | 19 | 17 | 16 | 11 | 3 |
| 6SP60 03-5.5 | 5.5 | 7.5 | 42 | 39 | 36 | 34 | 31 | 29 | 26 | 23 | 17 | 4 | |
| 6SP60 04-7.5 | 7.5 | 10 | 56 | 52 | 48 | 46 | 43 | 38 | 34 | 31 | 22 | 5 | |
| 6SP60 05-9.2 | 9.2 | 12.5 | 70 | 65 | 60 | 55 | 52 | 48 | 43 | 39 | 28 | 6 | |
| 6SP60 06-11 | 11 | 15 | 84 | 78 | 72 | 67 | 63 | 57 | 51 | 47 | 33 | 7 | |
| 6SP60 07-13 | 13 | 17.5 | 98 | 91 | 84 | 78 | 73 | 67 | 60 | 55 | 39 | 8 | |
| 6SP60 08-15 | 15 | 20 | 112 | 104 | 96 | 89 | 84 | 76 | 68 | 62 | 44 | 9 | |
| 6SP60 09-18.5 | 18.5 | 25 | 126 | 117 | 108 | 100 | 94 | 86 | 77 | 70 | 50 | 10 | |
| cân nhảy dù | |||||
| Người mẫu | A | B | C | D | E |
| 6SP30 03-3.0 | 1082 | 482 | 600 | 3"-4" | f145 |
| 6SP30 04-4.0 | 1212 | 502 | 710 | 3"-4" | f145 |
| 6SP30 06-5.5 | 1496 | 562 | 934 | 3"-4" | f145 |
| 6SP30 08-7.5 | 1772 | 612 | 1160 | 3"-4" | f145 |
| 6SP30 10-9.2 | 2072 | 687 | 1385 | 3"-4" | f145 |
| 6SP30 12-11 | 2342 | 732 | 1610 | 3"-4" | f145 |
| 6SP30 14-13 | 2612 | 782 | 1830 | 3"-4" | f145 |
| 6SP30 16-15 | 2891 | 837 | 2054 | 3“-4” | f145 |
| 6SP30 19-18.5 | 3247 | 857 | 2390 | 3"-4" | f145 |
| 6SP46 02-3.0 | 970 | 482 | 488 | 3"-4" | f145 |
| 6SP46 03A-4.0 | 1102 | 502 | 600 | 3"-4" | f145 |
| 6SP46 03-5.5 | 1162 | 562 | 600 | 3"-4" | f145 |
| 6SP46 05-7.5 | 1434 | 612 | 822 | 3"-4" | f145 |
| 6SP46 06-9.2 | 1621 | 687 | 934 | 3“-4” | f145 |
| 6SP46 07-11 | 1780 | 732 | 1048 | 3"-4" | f145 |
| 6SP46 08-13 | 1942 | 782 | 1160 | 3"-4" | f145 |
| 6SP46 10-15 | 2222 | 837 | 1385 | 3"-4" | f145 |
| 6SP46 12-18.5 | 2467 | 857 | 1610 | 3"-4" | f145 |
| 6SP60 02-4.0 | 998 | 502 | 496 | 4" | f145 |
| 6SP60 03-5.5 | 1170 | 562 | 608 | 4" | f145 |
| 6SP60 04-7.5 | 1332 | 612 | 720 | 4" | f145 |
| 6SP60 05-9.2 | 1519 | 687 | 832 | 4" | f145 |
| 6SP60 06-11 | 1676 | 732 | 944 | 4" | f145 |
| 6SP60 07-13 | 1838 | 782 | 1056 | 4" | f145 |
| 6SP60 08-15 | 2005 | 837 | 1168 | 4" | f145 |
| 6SP60 09-18.5 | 2137 | 857 | 1280 | 4" | f145 |
1. Công tắc nguồn
2. Cassette điều khiển tự động
3. Đường ống
4. Van
5. Miếng đệm
6. Mức tĩnh
7. Cực trên
8. Cáp
9. Vâng
10. Mức độ khuấy
11. Thanh giữa
12. Vỏ máy bơm
13. Hạ cực
14. Động cơ điện dưới nước
| kích cỡ | Điện áp(v) | Công suất (kw) | Mặt cắt cáp (mm2) | 0,7mm2 | 1mm2 | 1,5 mm2 | 2mm2 | 2,5 mm 2 | 3mm2 | 4mm2 | 6mm2 | 10mm2 | 16mm2 | 25 mm 2 | 35mm2 | 50mm2 |
| 4" | 220 | 0.37 | Chiều dài cáp (m) | 50 | 80 | 100 | ||||||||||
| 0.55 | 35 | 55 | 80 | 105 | 130 | |||||||||||
| 0.75 | 20 | 35 | 55 | 75 | 90 | 110 | 150 | |||||||||
| 0.95 | 32 | 52 | 70 | 85 | 105 | 140 | ||||||||||
| 1.1 | 30 | 48 | 60 | 79 | 100 | 127 | 190 | |||||||||
| 1.5 | 25 | 34 | 50 | 57 | 80 | 92 | 137 | 228 | ||||||||
| 1.8 | 23 | 32 | 48 | 55 | 78 | 90 | 135 | 226 | ||||||||
| 2.2 | 22 | 30 | 43 | 50 | 68 | 102 | 170 | 230 | ||||||||
| 3.0 | 25 | 30 | 45 | 60 | 80 | 120 | 200 | 330 | ||||||||
| 3.5 | 25 | 30 | 45 | 60 | 100 | 180 | 290 | |||||||||
| 4.0 | 25 | 35 | 55 | 90 | 150 | 220 | 300 |
| kích cỡ | Điện áp(v) | Công suất (kw) | Mặt cắt cáp (mm2) | 0,7mm2 | 1mm2 | 1,5 mm2 | 2mm2 | 2,5 mm 2 | 3mm2 | 4mm2 | 6mm2 | 10mm2 | 16mm2 | 25 mm 2 | 35mm2 | 50mm2 |
| 4" | 380 | 0.37 | Chiều dài cáp (m) | 200 | 315 | |||||||||||
| 0.55 | 100 | 210 | 320 | |||||||||||||
| 0.75 | 80 | 165 | 280 | |||||||||||||
| 1.1 | 120 | 180 | 250 | 308 | ||||||||||||
| 1.5 | 90 | 150 | 200 | 250 | 300 | 400 | ||||||||||
| 2.2 | 65 | 114 | 150 | 191 | 250 | 305 | 457 | |||||||||
| 6" | 3.0 | 77 | 100 | 128 | 170 | 205 | 307 | 390 | ||||||||
| 4.0 | 61 | 80 | 102 | 120 | 153 | 244 | 406 | |||||||||
| 5.5 | 47 | 60 | 70 | 90 | 110 | 165 | 312 | |||||||||
| 7.5 | 65 | 80 | 130 | 200 | 320 | |||||||||||
| 9.2 | 72 | 108 | 178 | 282 | 432 | |||||||||||
| 11 | 63 | 94 | 155 | 246 | 370 | |||||||||||
| 13 | 78 | 129 | 205 | 314 | ||||||||||||
| 15 | 69 | 114 | 180 | 277 | ||||||||||||
| 18.5 | 55 | 91 | 145 | 222 | 305 | |||||||||||
| 22 | 49 | 81 | 128 | 196 | 290 | |||||||||||
| 25 | 68 | 107 | 165 | 226 | 314 | |||||||||||
| 30 | 60 | 95 | 145 | 200 | 275 | |||||||||||
| 37 | 52 | 82 | 125 | 170 | 234 | |||||||||||
| 45.0 | 45 | 71 | 108 | 147 | 203 |